Mnova NMR

Mnova NMR
低価格な高機能NMRプロセッシングソフトウェア
Mnovaは強力な表示機能をもつ革新的なNMRプロセス、アナリシス、レポート用のソフトウェアです。 MnovaはWYSIWYGでマルチページのグラフィカルユーザインターフェースをもち、マルチプラットフォーム環境(Windows,MacOS X,Linux)で動作し、NMRでの多様な研究をサポートします。 Mnovaはプロセス、アナリシス(インテグレーション、ピークピック、テーブル作成)、スペクトル予測を兼ね備えたレポートツールで、 Microsoft PowerPointに似たインターフェースをもち、データプロセスなどを通常のドローソフトを使用する感覚で、印刷イメージのまま直感的に操作すること ができます。
特徴一覧
| 項目 | 説明 | ||
|---|---|---|---|
| 自動プロセスと解析 | 1D および2D NMR FIDデータファイルを読み込むと自動的にフーリエ変換(FT)を行い、位相合わせやベースライン補正も自動で行われます。 自動ピークピックや自動インテグレーションなどの解析機能もあります。 | ||
| WYSIWYG, マルチページ |
WYSIWYGのインターフェースをもち、スペクトルをオブジェクトとしてドローソフトと同様の操作で扱うことができます。 複数のスペクトルを1ページにまとめ、1つのファイルに複数の解析結果を保存できます。 スペクトルの重ね合わせ、角度を指定したスタック(積み重ね)もできます | ||
| スペクトル描画 カスタマイズ |
一般的なグラフ描画ソフトのグラフ軸の表示有無、グリッド有無、軸スケール、数字フォント、スペクトルの描画線幅、表示色などのカスタマイズが自由におこなえます。 | ||
| 図形描画機能 | 多角形、線、矢印、書式設定可能なテキストボックスなどの標準的なドローオブジェクトと、オブジェクトのパターン設定、半透過色など PowerPointに準ずる図形描画機能をもっています。 | ||
| アンチエイリアス | 直前操作の取り消しややり直しをマルチページにわたり行うことが可能です。 | ||
| マクロ(スクリプト) | 定型操作をJavascript様式のオブジェクト指向言語のマクロ(スクリプト)を組むことで自動実行できます。DOS(Linux)コマンドラインから FIDファイル名とマクロを指定して自動解析することも可能です。 | ||
| テーブル作成 | 測定パラメータ(FIDファイルパラメータ)、ピーク、積分、マルチプレットなどのテーブルを作成、挿入ができます。 MS Excelなどに表形式のまま貼り付けることもできます。 | ||
| マルチプラットフォーム | Windows 7/ 8/ 10, MacOS X( 10.5(Leopard)に5.2.0から正式対応), Linux(RedHat 3/4, FedoraCore 6以降, Open SUSE 10.1他)の主要なOSに対応しています。 | ||
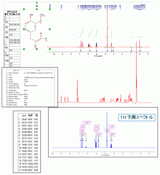
| 化学構造式表示/ ピークテーブル作成 |
代表的な化学構造式描画ソフト ACD ChemSketch,CambridgeSoft ChemDraw, MDL ISIS/Drawなどのデータオブジェクトをそのままペーストして表示することができます。Mnova内で色、原子ナンバリングの表示を設定できます。 また、ペーストした化学構造式の原子と、Mnova上のピークピックしたスペクトルをドラッグすることで、アサインメントされたピークテーブルを作成することができます(本製品には化学構造式描画機能はありません)。 | ||
| 対応入力データ 形式 |
Data Format | Vender | |
| VNMR/VNMRj, Gemini | Agilent(Varian) | ||
| TopSpin, XWINNMR, Aspect, Win-NMR | Bruker | ||
| Delta, Alice, Lambda, EG/GX | JEOL | ||
| The JCAMP-DX 5.0 | IUPAC | ||
| Nuts | Acorn NMR | ||
| SpinSight | Chemagnetics | ||
| NTNMR | Tecmag | ||
| 出力形式 | 独自形式の他に、マルチページの状態で代表的な文書ファイルであるPDFファイルとして出力できます。 1ページごと、あるいは選択したオブジェクトのみ画像ファイルにして、JPEG,BMP,PNGなどのピクセル画像、EPS(PostScriptファイル)、EMF(Windows標準メタファイル)などのベクター画像ファイルでも出力できます。 スペクトルをEPSやEMFファイルで保存すると、他のアプリケーションへ挿入した場合に、拡大縮小しても画質が低下せず、論文への挿入やポスター発表でも美しくスペクトルが表示できます。 スペクトルはJCAMP形式やASCII形式などのテキストファイルでも出力できます。 解析後のスペクトルチャートやピークテーブル部分のみをOLE/COMオブジェクトとして、Microsoft Office製品などにオブジェクトリンクを張った状態でコピー&ペーストすることもできます。 |
||
インターフェース
Mnovaは直感的かつ現代的なユーザインターフェイスをもち、Microsoft PowerPointのようなオフィスアプリ ケーションと同様な操作性を持っています。 一般的なドローソフトのように、印刷イメージの1ページ毎の表示で、描画オブジェクト単位の編集操作ができます。 読み込んだNMRスペクトルも1つのオブジェクトとして扱われますので、データプロセスをおこないながら、オブジェクトとしての形状操作、移動、コピー&ペースト、重ね合わせなどが直感的に操作できます。 1ページに複数のスペクトルを表示しての比較、他のページへの複製、移動なども簡単にできます。
データ処理&解析
読み込んだNMRデータは自動でフェーズ合わせがおこなわれ、レポート内のオブジェクトとして表示されます。 FIDに戻すことも、ウィンドウ関数のカスタマイズ(2Dの場合、次元毎に)やリニアプレディクション、切り捨てなどの操作もできます。 スペクトルに対して、自動またはマニュアル操作でフェーズ合わせ、ピークピック、積分などのプロセス作業をおこなえます。 スペクトル描画は、描画線の色、線幅、グリッド有無、軸スケールの表示、スケールの大小、数値のフォントなどを自由にカスタマイズできます。 計算処理によるノイズの低減や正規化、実測では重なってしまうピークを計算で分離する Resolution Booster機能などもあります。
解析&テーブル
1ページに複数のスペクトルを表示し、数値入力でスペクトルの座標、スケールなどを合わせて比較表示、重ね合わせをすることができます。 挿入した化学構造式内の原子とピークピック後のスペクトルをドラッグすることで、アサインメントされたピークテーブルを作成することができます。 測定パラメータ、ピークテーブルなどをテーブルのままExcelにコピーすることができます。 別途NMRPredict Desktop Pluginを購入すると、化学構造式から、1H、13CNMRスペクトルを計算予測することができます。
マルチプラットフォーム
研究室で使用されている代表的なOSであるWindows 7,8,10、MacOS X(Mnova5.2.0からOS10.5に対応), Linux (FedoraCore 6, RedHat3/4, Debian, openSuse 10.1など)用の各ディストリビューションがあり、OSが 異なっても同一のNMRプロセス作業がおこなえ、NMRデータを共有できます。
カッティングツール
カッティングツールはスペクトルの平坦な不要部分を削除し、重要なピーク領域だけのコンパクトな表示にするツールです。カッティング毎の拡大の操作を行うことなしに、自動的に残りの領域が拡大され、簡単な操作で元に戻すこともできます。
プロット&カラーマップ
2D スペクトルであればトレース(1D断面)を表示するプロットもできます。トレースのみを別の1Dスペクトルに抜き出すこともできます。スペクトル強度は等高線、カラーマップなどで表示をカスタマイズできます。
複数のプロットを積み重ねるスタックプロットや、強度毎にカラーマップで表示する強度カラープロットに対応しています。 プレゼン時の視認性や好みに合わせて、レポートページのバックグラウンドの色をカスタマイズすることや、プロットの等高線カラーマップなどを自由にカスタマイズできます。
このページのトップへ






